🏗️ Infrastructure Analysis - Global Thriving Study

📊 Infrastructure Overview

132
Countries Analyzed
85.5%
Average Electricity Access
100.0%
Median Electricity Access
81
Universal Access Countries
Infrastructure Overview Visualization

🔍 Overview Insights

  • Global Status: 85.5% average electricity access across 132 countries
  • Universal Access: 81 countries achieve near-universal electricity access (≥99%)
  • Regional Leaders: Oceania leads with 100.0% average access
  • Development Gap: 43.8 percentage point gap between best and worst regions

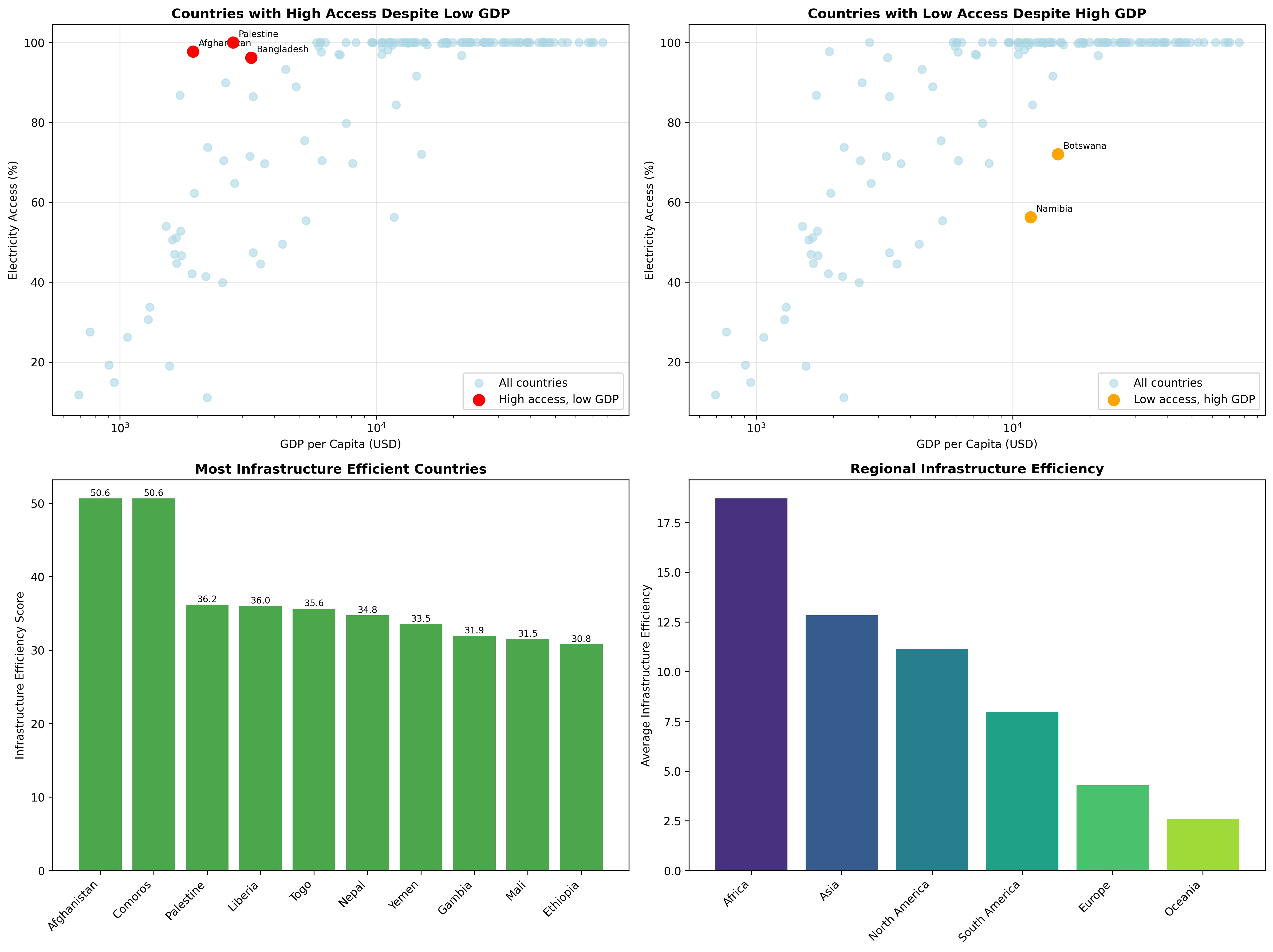
🌍 Regional Analysis

Region Countries Avg Access (%) Median Access (%) Universal Access Avg GDP per Capita
Asia 35 96.6% 100.0% 25 $16,592
Europe 36 100.0% 100.0% 36 $32,078
Africa 39 56.2% 52.8% 5 $4,878
South America 9 99.5% 100.0% 7 $14,204
Oceania 2 100.0% 100.0% 2 $39,412
North America 11 92.9% 99.4% 6 $17,074

📈 Statistical Analysis

ANOVA Test Results:

  • F-statistic: 38.636
  • P-value: 0.000000
  • Result: Significant regional differences in electricity access (α = 0.05)

🔗 Infrastructure Correlations

Variable Correlation with Electricity Access Strength P-value Significance
↗️ Life Expectancy 0.800 Strong 0.000 ✅ Significant
↗️ Education Years 0.739 Strong 0.000 ✅ Significant
↗️ Life Satisfaction 0.553 Moderate 0.000 ✅ Significant
↗️ Gdp Per Capita 0.513 Moderate 0.000 ✅ Significant
↗️ Unemployment Rate 0.082 Weak 0.450 ❌ Not Significant

🔍 Correlation Insights

  • Strong Relationships: Found 2 strong correlations with electricity access
  • Strongest Correlation: Life Expectancy is positively correlated (r = 0.800)
  • Life Expectancy: As electricity access improves, life expectancy typically increases
  • Education Years: As electricity access improves, education years typically increases

🎯 Infrastructure Development Clusters

Clustering Overview

Number of Clusters: 2

Clustering Quality (Silhouette Score): 0.485

Cluster 0 - 44 Countries

Average Electricity Access: 58.2%
Average GDP per Capita: $3,870
Average Life Satisfaction: 4.42
Average Life Expectancy: 63.8 years
Average Education Years: 5.2 years

Countries in this cluster:

Afghanistan
Bangladesh
Benin
Botswana
Burkina Faso
Burundi
Cambodia
Cameroon
Chad
Comoros
Congo - Brazzaville
Cote d'Ivoire
Egypt
Eswatini
Ethiopia
Gabon
Gambia
Guinea
Haiti
India
Kenya
Laos
Liberia
Madagascar
Malawi
Mali
Mauritania
Mozambique
Myanmar
Namibia
Nepal
Niger
Nigeria
Pakistan
Rwanda
Senegal
Sierra Leone
South Africa
Tanzania
Togo
Uganda
Yemen
Zambia
Zimbabwe

Cluster 1 - 84 Countries

Average Electricity Access: 99.6%
Average GDP per Capita: $25,002
Average Life Satisfaction: 6.05
Average Life Expectancy: 77.7 years
Average Education Years: 9.4 years

Countries in this cluster:

Albania
Algeria
Argentina
Armenia
Australia
Austria
Azerbaijan
Belarus
Belgium
Bosnia and Herzegovina
Brazil
Bulgaria
Canada
Chile
China
Colombia
Costa Rica
Croatia
Cyprus
Czechia
Denmark
Dominican Republic
Ecuador
El Salvador
Estonia
Finland
France
Georgia
Germany
Greece
Guatemala
Honduras
Indonesia
Iran
Ireland
Israel
Italy
Japan
Jordan
Kazakhstan
Kyrgyzstan
Latvia
Lebanon
Lithuania
Luxembourg
Malaysia
Malta
Mauritius
Mexico
Moldova
Mongolia
Montenegro
Morocco
Netherlands
New Zealand
Nicaragua
North Macedonia
Norway
Palestine
Panama
Peru
Philippines
Portugal
Romania
Russia
Saudi Arabia
Singapore
Slovakia
Slovenia
South Korea
Spain
Sri Lanka
Sweden
Switzerland
Thailand
Tunisia
Turkey
Ukraine
United Arab Emirates
United Kingdom
United States
Uruguay
Uzbekistan
Vietnam

🎯 Notable Infrastructure Patterns

High Access, Low GDP

  • Afghanistan: Achieves 97.7% electricity access with GDP of $1,929
  • Bangladesh: Achieves 96.2% electricity access with GDP of $3,250
  • Palestine: Achieves 100.0% electricity access with GDP of $2,762

Low Access, High GDP

  • Botswana: Only 72.0% electricity access despite GDP of $15,015
  • Namibia: Only 56.3% electricity access despite GDP of $11,741

High Infrastructure Efficiency

  • Afghanistan: High infrastructure efficiency: 50.6
  • Comoros: High infrastructure efficiency: 50.6
  • Liberia: High infrastructure efficiency: 36.0
  • Nepal: High infrastructure efficiency: 34.8
  • Palestine: High infrastructure efficiency: 36.2
Infrastructure Outliers Analysis

💡 Key Insights

🔬 Methodology

Data Sources & Indicators

  • Primary Infrastructure Indicator: Percentage of population with access to electricity (2020)
  • Supporting Indicators: Number of people with electricity access, GDP per capita, life satisfaction, life expectancy, education years
  • Geographic Coverage: Global analysis across major continents

Analytical Methods

  • Regional Analysis: ANOVA testing for significant regional differences
  • Correlation Analysis: Pearson correlation coefficients with significance testing
  • Clustering Analysis: K-means clustering with silhouette score optimization
  • Outlier Detection: Statistical and logical outlier identification
  • Infrastructure Metrics: Custom efficiency and gap calculations

Infrastructure Categories

  • Universal Access: ≥99% electricity access
  • High Access: 90-98% electricity access
  • Medium Access: 70-89% electricity access
  • Low Access: 50-69% electricity access
  • Very Low Access: <50% electricity access

Infrastructure Analysis Report

Generated on: {datetime.now().strftime('%Y-%m-%d %H:%M:%S')}

Global Thriving Study - Infrastructure Dimension